Sédiment
Le sédiment de n'importe quelle matière peut être transporté par le mouvement d'un fluide (air, eau, glacier) et est peut-être déposé, formant une couche de particules solides sur le lit ou fond d'un cours d'eau ou d'autre liquide.
Définitions :
- Sédiment. / strati. - nm Accumulation par dépôt de particules de taille variable ayant subi, indépendamment les unes des autres un transport... (source : geopedia)
- Débris qui est dans l'eau de mer ou accumulé sur les continents. (source : fnh)
- cailloux, gravier, sable, limon, silt, argile, matière organique transportés par l'eau, le vent et les autres agents d'érosion, depuis le... (source : fapaq.gouv.qc)
Le sédiment de n'importe quelle matière peut être transporté par le mouvement d'un fluide (air, eau, glacier) et est peut-être déposé, formant une couche de particules solides sur le lit ou fond d'un cours d'eau ou d'autre liquide.
Types de sédiments
Des particules physiques, des êtres vivants et leurs excrétats sédimentent en permanence dans les eaux douces, saumâtres et salées, ou se déposent dans les glaciers. Elles peuvent être remobilisées et transportées ailleurs. La Sédimentation d'origine (éoliennne) augmente avec l'aridification et la désertification. Les sédiments transportés par le vent, sont des minéraux issus de l'érosion des sols et des roches, des volcans, des embruns, des incendies.
- Les dunes et le lœss sont des résultats d'un transport sédimentaire éolien.
- Les moraines et tills sont des dépôts de sédiments ayant été transportés par la glace. Les effondrements gravitaires créent aussi des sédiments comme les talus et les glissements mais aussi les éléments de karstologie.
Les lacs, deltas, mers et océans accumulent des sédiments pendant de longues périodes (transgression marine). Le matériau peut être terrigène (venant des terres) ou marin (dont l'origine est marine). Les sédiments déposés sont la source de roches sédimentaires qui peuvent contenir des fossiles des habitants de ce volume d'eau autrefois recouvert par les couches de sédiments. Leur carottage permet de connaître l'évolution du climat.
Les périodes de crue des rivières et des fleuves entraînent une plus grande quantité de sédiments, car les débits, plus forts, ont une plus importante force érosive et une plus grande énergie de transport. La baisse subséquente des niveaux d'eau crée fréquemment de vastes étendues de sol nouveau sur les plaines inondables. La disparition ou la régression des embâcles naturels, des castors et de leurs barrages peuvent modifier les paramètres érosifs d'un bassin versant et la sédimentation en aval, de même que la canalisation d'un fleuve ou d'une rivière, ou la construction de barrages artificiels qui emprisonnent dans leurs réservoirs d'importantes quantités de sédiments et quelquefois de polluants.
Transport de sédiments
Cours d'eau
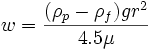
Lorsqu'un fluide comme l'eau coule, il peut se charger de particules en suspension. La vitesse de sédimentation est la vitesse minimale qu'un flot doit avoir pour transporter, plutôt que déposer, des sédiments, et est donnée par la loi de Stokes :
où w est la vitesse de sédimentation, ρ est la masse volumique (les indices p et f indiquent respectivement particule et fluide), g est l'accélération due à la gravité, r est le rayon de la particule et μ est la viscosité dynamique du fluide.
Si la vitesse de l'écoulement est plus grande que celle de dépôt, le granulat continue vers l'aval. Comme il y a systématiquement des diamètres différents dans le flot, les plus gros se déposent (décantation) tout en pouvant continuer à descendre par des mécanismes comme la saltation (collisions particules-paroi, par roulement ou glissement, dont les traces sont fréquemment conservées dans les rochers solides) et peuvent être utilisées pour estimer la vitesse du courant.
Dans les cours d'eau à pente plus importante, des sédiments plus grossiers peuvent être transportés. En montagne, le diamètre de plus grosses particules rocheuses transportées peut atteindre plusieurs dizaines de centimètres. Quand ce transport de sédiments survient lors d'une crue, on assiste à un événement de charriage.
Sédiments pollués
En aval des zones habitées, cultivées et/ou industrialisées, les sédiments des fleuves, des canaux, des gares d'eau, des estuaires et des littoraux mais aussi de certains lacs sont fréquemment très pollués. La pollution peut être ancienne (issue de mines médiévales ou antiques de métaux par exemple) et/ou récentes. On parle quelquefois de «pollution de stock», qui peut (re) devenir une «pollution de flux» en période de crue, ou suite à une méandrisation du cours d'eau ou suite à des travaux contribuant directement ou indirectement (modification des courants) à leur remise en suspension.
Des sédiments peuvent aussi avoir été pollués directements par le rejet volontaire ou involontaire de déchets, et surtout en mer Baltique et sur le littoral français ou dans certains lacs par l'immersion volontaire de munitions, d'explosifs et de déchets divers. Le long des canaux, des dépôts de boues de curages peuvent quelquefois former des points de relarguage de pollution.
Lits fluviaux
N'importe quelle particule dont le diamètre est approximativement plus grand que 0,7 mm formera des composants topographiques visibles et sculptés dans le lit du cours d'eau.
Environnements dépositaires principaux
Les principaux environnements dépositaires sont :
|
|
Côtes et mers peu profondes
Le second environnement principal où le sédiment peut être en suspension dans un fluide est dans les mers et océans. Il peut venir des cours d'eau comme précédemment. Au milieu de l'océan, ce sont les organismes vivants qui sont essentiellement responsables de l'accumulation de sédiments, car leur coquille coule sur le fond de l'océan après leur mort et s'y fossilise. Enfouis durant des millions d'années, ces sédiments organiques sont graduellement transformés en combustibles fossiles tels que le charbon ou le pétrole, selon la durée d'enfouissement et l'environnement des couches organiques.
Formes du lit marin
Le forme du lit marin est influencée par la marée.
Les contre-écoulements
La chute de particules dans un liquide provoque des contre-écoulements opposés à leur descente. Ces contre-écoulements ont pour effet de ralentir la descente des particules situées au-dessus et ralentissent la sédimentation.
Pour mettre en évidence ce phénomène, une expérience de sédimentation dans un tube peut aisément être réalisée (voir l'effet Boycott).
Voir aussi
Recherche sur Google Images : |
|
"Des sédiments plus grossiers ..." L'image ci-contre est extraite du site www.reef-guardian.com Il est possible que cette image soit réduite par rapport à l'originale. Elle est peut-être protégée par des droits d'auteur. Voir l'image en taille réelle (399 x 299 - 16 ko - gif)Refaire la recherche sur Google Images |
Recherche sur Amazone (livres) : Refaire la recherche |
Voir la liste des contributeurs.
La version présentée ici à été extraite depuis cette source le 13/11/2008.
Ce texte est disponible sous les termes de la licence de documentation libre GNU (GFDL).
La liste des définitions proposées en tête de page est une sélection parmi les résultats obtenus à l'aide de la commande "define:" de Google.
Cette page fait partie du projet Wikibis.




Refaire la recherche
Accueil
Recherche
Début page
Contact
Imprimer
Accessibilité